Institut Latihan Mahkamah Anak Negeri Sabah





Wong Thien Fook On Twitter Newly Completed Institut Latihan Mahkamah Anak Negeri Sabah Located In Kibabaig Penampang Up For The Orang Asal Sabah Https T Co Cxd7u2yrp9

Wong Thien Fook On Twitter Newly Completed Institut Latihan Mahkamah Anak Negeri Sabah Located In Kibabaig Penampang Up For The Orang Asal Sabah Https T Co Cxd7u2yrp9

Wong Thien Fook On Twitter Newly Completed Institut Latihan Mahkamah Anak Negeri Sabah Located In Kibabaig Penampang Up For The Orang Asal Sabah Https T Co Cxd7u2yrp9

Wong Thien Fook On Twitter Newly Completed Institut Latihan Mahkamah Anak Negeri Sabah Located In Kibabaig Penampang Up For The Orang Asal Sabah Https T Co Cxd7u2yrp9

Institut Latihan Mahkamah Anak Negeri Sabah

Institut Latihan Mahkamah Anak Negeri Sabah

Faculty Of Engineering Fkj Ums Programme Civil Engineering Hk01 Course Advanced Project Management Ka43003 Carpentry Environmental Impact Assessment

Faculty Of Engineering Fkj Ums Programme Civil Engineering Hk01 Course Advanced Project Management Ka43003 Carpentry Environmental Impact Assessment

Institut Latihan Mahkamah Anak Negeri Ilman Sabah Youtube

Institut Latihan Mahkamah Anak Negeri Ilman Sabah Youtube

Logo Mahkamah Anak Negeri Sabah

Logo Mahkamah Anak Negeri Sabah

Logo Mahkamah Anak Negeri Sabah

Institut Latihan Mahkamah Anak Negeri Sabah

Institut Latihan Mahkamah Anak Negeri Sabah

Melawat Ke Institut Latihan Mahkamah Anak Negeri Penampang Youtube

Melawat Ke Institut Latihan Mahkamah Anak Negeri Penampang Youtube

Sekitar Lawatan Tapak Projek Pembinaan Tan Sri Othman Bin Haji Mahmood Facebook

Sekitar Lawatan Tapak Projek Pembinaan Tan Sri Othman Bin Haji Mahmood Facebook

Ums Ums Disaran Jalin Kerjasama Dengan Ilman Bagi Latih Individu Berkelayakan Kendali Mahkamah Anak Negeri

Ums Ums Disaran Jalin Kerjasama Dengan Ilman Bagi Latih Individu Berkelayakan Kendali Mahkamah Anak Negeri

Seminarkebudayaan Instagram Posts Gramho Com

Seminarkebudayaan Instagram Posts Gramho Com

Http Jhp Ui Ac Id Index Php Home Article Download 255 189

Http Jhp Ui Ac Id Index Php Home Article Download 255 189

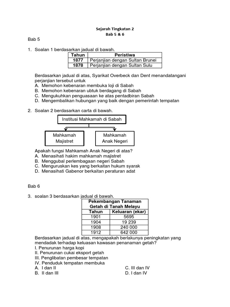
Sejarah Tingkatan 2 Bab 5 6

Sejarah Tingkatan 2 Bab 5 6

Http Jhp Ui Ac Id Index Php Home Article Download 255 189

Http Jhp Ui Ac Id Index Php Home Article Download 255 189

Wi7q8p Vjddhnm

Wi7q8p Vjddhnm

Inavol Instagram Posts Gramho Com

Inavol Instagram Posts Gramho Com

Contoh Makalah Perbandingan Sistem Pemerintahan Indonesia Dengan Malaysia

Contoh Makalah Perbandingan Sistem Pemerintahan Indonesia Dengan Malaysia

Http Jhp Ui Ac Id Index Php Home Article Download 255 189

Http Jhp Ui Ac Id Index Php Home Article Download 255 189

Politik Dan Birokrasi Di Negara Bagian Sabah Malaysia Studi Kasus Intervensi Pejabat Politik Terhadap Pejabat Birokrasi Pdf Free Download

Politik Dan Birokrasi Di Negara Bagian Sabah Malaysia Studi Kasus Intervensi Pejabat Politik Terhadap Pejabat Birokrasi Pdf Free Download

Https Repository Ar Raniry Ac Id 3367 2 Nur 20azizah Pdf

Https Repository Ar Raniry Ac Id 3367 2 Nur 20azizah Pdf

Source : pinterest.com